How To Solve Quadratic Equation In Mathcad
Solving an equation for a variable To solve an equation symbolically for a variable use the keyword solve. When you solve an equation for a variable under assumptions the solver only returns solutions consistent with the assumptions.

Solving Equations Symbolically Mathcadhelp Com Number 1 In Mathcad Assignments
λύση εξισώσεων με το MathcadMathcad tutorial 3 solving an equation.

How to solve quadratic equation in mathcad. There are two solutions for the inverse sine. To solve an equation symbolically for a variable use the keyword solve. Type the equation.
Figure 15-2 shows an example of how such a function can be used to find several solutions to the root function. Then we plug these coefficients in the formula. Press Ctrl Shift 1 hold down the control and shift keys and type a period.
Eqn x2 5x - 6 0. S solve eqnx S. If you cast the system as a matrix times an unknown vector X you must solve for all variables in the vector at once.
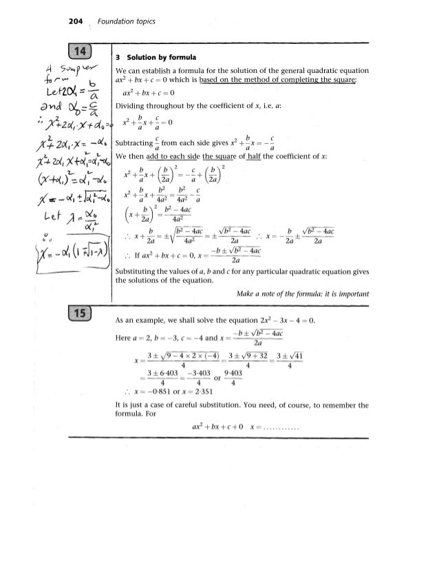
Modern software leverages the speed of an electronic computer to solve complex problems at high speed. Solve this equation for x. First we bring the equation to the form ax²bxc0 where a b and c are coefficients.
Type the equation. Type the equation to solve using the Boolean equal to operator. Make sure you use Ctrl to create the equal sign.
Mathcad displays a placeholder to the left of the arrow. Allow solutions that do not satisfy the assumptions by setting IgnoreProperties to true. Step by step guide to Solving a Quadratic Equation Write the equation in the form of.
Ax2 bx c 0 a x 2 b x c 0 Factorize the quadratic and solve for the variable. PTC Mathcad makes solving any number of your systems of equations with unknown variables simple and easy through the use of the softwares solve block feature. Alan shows one using the symbolic solver.
Otherwise it returns numeric solutions. Press Ctrl Shift 1 hold down the control and shift keys and type a period. Then evaluate the unction by typing f a x.
Use quadratic formula if you couldnt factorize the quadratic. To solve the equation for a particular value of a supply both a and a guess value x as arguments to this function. See examples of using the formula to solve a variety of equations.
PTC Mathcad returns symbolic solutions to the equation if possible. Make sure you use Ctrl to create the equal sign. You can also solve the above system of equations using a solve block.
Solving an equation for a variable. One is the principle value as returned by asin and this corresponds to the near chord. There are two solutions to this one for the near chord and one for the far chord.
Quadratic equation There are many ways to do this in Mathcad. The other is π-asin lr and that corresponds to the far chord. Another way is to solve numerically using the root function.
In part 3 of a 4 part series prepared for high school. Insert the symbolic evaluation operator type the keyword solve in the placeholder and then press Enter or click anywhere. You cannot hold any of the vector elements constant in this formulation.
The quadratic formula helps us solve any quadratic equation.

Making Algebra Problems Easier With Mathcad Quadratic Equations Mathcad

My Three Favorite Worksheets Root Finding In Mathcad Mathcad
Solved Problem With Unit 0 0 When Solve Quadratic Equatio Ptc Community
Solving Equations And Sets Of Equations In Mathcad

Algebra Help Solving Complex Quadratics Youtube

Mathcad How To Use Matrix Math To Solve A Linear Set Of Equations Let07 Youtube

Equations In One Unknown In Mathcad
Solved Problem With Unit 0 0 When Solve Quadratic Equatio Ptc Community

My Three Favorite Worksheets Root Finding In Mathcad Mathcad

My Three Favorite Worksheets Root Finding In Mathcad Mathcad

Making Algebra Problems Easier With Mathcad Quadratic Equations Mathcad

Solving Equations Symbolically Mathcadhelp Com Number 1 In Mathcad Assignments

Math Cad Prime Quadratic Equation Derivation
![]()
Math Cad Prime Quadratic Equation Derivation

Math Cad Prime Quadratic Equation Derivation

Making Algebra Problems Easier With Mathcad Quadratic Equations Mathcad
Solving Equations And Sets Of Equations In Mathcad

Finding A Solution To A Set Of Equations In Mathcad

Making Algebra Problems Easier With Mathcad Quadratic Equations Mathcad